دیوید استامپر، که از اساتید ریاضیات کاربردی است، در کتابش تحت عنوان ساکرمَتیکس soccermatics (ادغامی از دو کلمه Soccer و Mathematics به معنای فوتبال و ریاضیات)، نشان داده چطور می توان فوتبال را در قالب اعداد، الگوها و اشکال تکه تکه کرد. او که در این کتاب، مدلی برای شرط بندی ارائه کرده و به دنبال فرمول شرط بندی است و به سوال «آیا فرمولی جادویی برای شرط بندی وجود دارد؟» پاسخ داده و تلاش کرده نشان دهد چطور می توان با استفاده از ریاضیات، در شرط بندی به موفقیت دست پیدا کرد.
داستان هایی در جامعه شرط بندی شنیده می شود که انگار انیشتین قماربازی، توسط بوک میکرها (نهادهای شرط بندی) را مغلوب کرده و برنده پول قابل توجهی شود. اگر این داستان ها درست باشد، می تواند با دنبال کردن توصیه ها و استفاده از فرمول او، دورترین رویاهای خود را به واقعیت بدل کنید. این یادداشت را از زبان استامپر بخوانید:
بخش اول یافتن فرمول شرط بندی!
بعد از اینکه سال گذشته کتابم را چاپ کردم، گویا اشخاصی این طور تصور کردند که من فرمول جادویی شرط بندی در اختیار دارم. از این رو، پیوسته در توئیتر و ایمیل های ارسالی، از من می خواهند به آن ها مشاوره و توصیه ارائه کنم. من یک استاد ریاضیات بودم که روی فوتبال تحقیق کرده است؛ پس حتما راز شرط بندی را می دانم، نه؟
راهی ساده برای پیدا کردن شروط ارزشمند در بازار شرط بندی
در یکی از قسمت های کتاب، توانستم به بوک میکرها غلبه کنم، ولی به خاطر پیدا کردن فرمولی جادویی که می توانست مسابقات فوتبال را پیش بینی کند، نبود. شیوه انجام آن، خیلی راحت تر از این بود. به ضرایب نگاه کردم و سوگیری بسیار کوچک ولی قابل توجهی نظرم را جلب کرد. بوک میکرها و قماربازها، توجه چندانی به انتخاب تساوی در بازی ها نداشتند.
شاید هم به خاطر محبوبیت بازارهای Over و Under است. شاید هم قماربازان علاقه ای به تساوی بازی ها نداشتند، ولی هر چه باشد، فهمیدم تساوی ها در لیگ برتر، ضرایب (قیمت های) مناسبی دریافت نمی کنند. نمودار زیر، تکرار تساوی ها طی 4 فصل لیگ برتر (2015-2011) و همچنین پیش بینی این تساوی ها براساس ضرایب بوک میکرها را نشان می دهد:

این نمودار براساس ضرایب ارائه شده 4 بوک میکر برتر و تبدیل ضرایب به احتمالات ضمنی و در ادامه بررسی تفاوت بین احتمال برد خانگی و خارج از خانه، تهیه شد.
نتایج حاکی از آن بود که وقتی دو تیم با قدرت برابر (احتمال برد تیم میزبان بیشتر از میهمان است) مقابل هم قرار می گیرند، ضریب تساوی به اندازه مناسب نیست. زمانی هم که قدرت دو تیم برابر نیست و یکی از آن ها قوی تر از دیگری است، تساوی قیمتی بیش از حد به خود می بیند.
می خواهید ساده تر بیان کنم؟ اگر دو تیم قدرتی برابر داشته باشند، انتخاب گزینه تساوی، شرط بندی ارزشمندی خواهد بود. اگر یکی از تیم ها قوی تر از دیگری باشد، تساوی را انتخاب کنید (در این حالت، انتخاب تیم قوی تر، عاقلانه تر است).
آزمایش نظریه تساوی های زیر قیمت
با بررسی ضرایب به نتایج بالا رسیدم. در ادامه، یافته هایم را پیاده کرده و مقداری پول برنده شدم. در پایین، نمودار سودی که طی فصل 16-2015 کردم را مشاهده می کنید:

پولم را طی فصل 3 برابر کردم. خب، البته در تمام طول فصل شرط بندی نکردم، ولی تا کریسمس 2 برابر سرمایه اولیه داشتم. کتابم، ساکرمتیکس، در مِی 2016 در حالی که لیگ برتر انگلیس در هفته های پایانی بود، چاپ شد. تغییراتی که بعد از آن در کسب نتایج شرط بندی داشتم را هم در نمودار زیر می توانید ببینید:

چندان خوب نیست. در هفته های اولیه نتایج خوبی گرفتم، ولی در ادامه اوضاع اصلا خوب پیش نرفت. شاید از دست ندادن پول به خودی خود دستاورد کوچکی به حساب برود، ولی خب مشخص است که هدف خیلی از قماربازان، پول درآوردن است.
درس هایی که از مدل شرط بندی ام آموختم
از مدل شرط بندی ام، 4 درس مختلف یاد گرفتم. اول اینکه، با خلق فرمول جادویی پول درنیاوردم. با اینکه یک فرمول برای انتخاب شرط هایم نوشتم (که می توانید آن را در پاورقی شماره 17 فصل 12 پیدا کنید)، این فرمول براساس بررسی هایم از ضرایب به دست آمده بود.
پایه مدل شرط بندی
پایه مدل شرط بندی ام، اصلا پیچیدگی خاصی نداشت. براساس تلاش هایم در ارزیابی قدرت تیم ها، بررسی عملکرد اخیر آن ها، معیارهای پیشرفته، آمار گلزنی و غیره به دست نیامده بود. صرفا به خاطر اشتباه کوچکی بود که ضرایب ارائه شده نشانم داده بودند.
بدشانسی
دوم اینکه خوش شانس نبودم. مدل اولیه با ضرایب ارائه شده بوک میکر طی 4 سال گذشته منطبق بود. ضرایب مدنظرم را از دانلود کردم و قبل از ثبت شرط، همه چیز را بررسی مجدد نمودم. المان های تصادفی بسیاری در شرط بندی وجود دارد و می توانید برای مدتی طولانی صرفا براساس شانس، برنده باشید، ولی این روندی طولانی و سودمند بود.
ناپایداری
سوم اینکه هیچ چیز برای همیشه دوام ندارد. در اوقاتی از خودبینی صرف، دوست دارم تصور کنم کتابم باعث اصلاح بازار شده است. شاید مسئولین سایت های شرط بندی کتابم را خوانده و به این نتیجه رسیده اند که ضرایب اشتباهی ارائه می داده اند. مثلا تصمیم گرفته اند ضریب تساوی لیورپول مقابل یونایتد را فقط به اندازه 0.1 بالاتر ببرند و به همین راحتی، فرصت کسب درآمد برایم از دست رفته است.
این تنها یک دلیل ممکن است. دلیل دیگر این است که شاید مربیان به این نتیجه رسیده اند که در بازی های بزرگ تر باید 3 امتیاز را هدف بگیرند. دلایل دیگری هم وجود دارند، ولی حقیقت این است که هیچ وقت از علت واقعی خبردار نخواهم شد. به هر حال فرصتی که پیدا کرده بودم، از دست رفته است.
کودن بودن!
نتیجه گیری چهارم و آخرم این است که یک کودن هستم. سه ماه از زندگی ام را صرف پیدا کردن یک مدل شرط بندی کرده و راهی برای بردن پیدا کردم، ولی به جای گذاشتن تمام سرمایه ام در آن، کتابی در موردش با فاش کردن رازم، منتشر کردم و تمام سود مالی ام دود شد و به هوا رفت.
درست است که برای نوشتن کتاب پول گرفتم و از صحبت و معاشرت در مورد شرط بندی و فوتبال، لذت بردم، ولی پول درآوردن از راه شرط بندی هم بد نبود.
هیچ فرمول جادویی برای پیش بینی نتیجه مسابقات فوتبال وجود ندارد. در واقع هیچ معادله ای که ضرایب را در نظر نگیرد، وجود ندارد. اگر می خواهید فرمول خود را خلق کنید، حتما باید از ضرایب استفاده نمایید.
خرد جمعی (که قبلا در موردش نوشته ایم)، می گوید غلبه بر بازار اصلا راحت نیست، ولی گاهی اوقات آن هم دچار اشتباه می شود. باید به دنبال همین اشتباهات باشید.
در قسمت دوم این یادداشت، می خواهم ببینم می توانم یکی از همین اشتباهات را با استفاده از ادغام مدل گل های مورد انتظار و سوگیری های بالقوه در ضرایب اخیر، پیدا کنم؟
بخش دوم یافتن فرمول شرط بندی
دیوید استامپر، استاد ریاضیات کاربردی، در قسمت ابتدایی این یادداشت در مورد پروسه ساخت یک مدل شرط بندی براساس تساوی های زیرقیمت (ضریب های کمتر یا بیشتر از احتمال واقعی رویداد)، توضیح داد. الان و در این قسمت، او می خواهد ببیند می توان با استفاده از تعداد گل های مورد انتظار تیم ها (Expected Goals)، بر ضریب های بوک میکرها (نهادهای شرط بندی)، غلبه کرد یا نه. ادامه مطلب را بخوانید تا به پاسخ این سوال برسید.
مروری بر گل های مورد انتظار
مدل فوتبالی که طی سال های اخیر توجهات بسیاری به خود جلب کرده، گل های مورد انتظار تیم ها بوده است. ایده پشت گل های مورد انتظار کاملا ساده است: کیفیت موقعیت های گلزنی را ارزیابی می کند.
اگر بازیکنی از محوطه شش قدم اقدام به شوت زنی کند، به طور غریزی احتمال بیشتری برای گل شدن توپ در مقایسه با شوت 30 متری قائل خواهیم بود. گل های مورد انتظار توجه ما را معطوف به احتمالات می کند. هر موقعیت برای گل شدن، یک احتمال به خود می بیند.
منابع بسیاری وجود دارند که در خصوص گل های مورد انتظار توضیح می دهند، ولی می خواهم نکته مهمی را خاطرنشان کنم: مهم ترین جنبه مدل این است که شوت از کجا نواخته شده است.
به بالن های تصویر پایین و محل انتشارشان نگاه کنید. این بالن ها، احتمال گلزنی از هر کدام از آن ها را نشان می دهند. هر شوتی که خارج از بالن بیرونی زده شود، شانسی معادل 3 درصد برای گل شدن خواهد داشت:

مدل اختصاصی خودتان برای تیم محبوبتان را بسازید!
با در نظر داشتن این، می توانید مدل اختصاصی خودتان برای تیم محبوبتان موقع تماشای بازی ها را ایجاد کنید. تنها باید تعداد شانس هایی که تیمتان در هر کدام از بالن ها داشته را بشمارید. اگر دو موقعیت در داخل بالن 30 درصد داشته باشند، 1 موقعیت در بالن 15 درصد، 5 موقعیت در بالن 7 درصد و 10 موقعیت در خارج از بالن ها داشته باشند، گل های مورد انتظار تیم به شرح زیر خواهد بود:
2×0.30 + 1×0.15 + 5×0.07 + 10×0.03 = 0.855 xG
مدل گل های مورد انتظار که من طراحی کردم، کمی از این پیچیده تر است، چون فاکتورهایی همانند ضدحمله، ضربه سر، موقعیت خطرناک و غیره را هم لحاظ کردم. این فاکتورها باعث شدند مدل بهتر شود، چون حتما عواملی غیر از مسافت شوت زنی در گل شدن توپ ها تاثیر می گذارند، ولی همواره وقتی می خواهید مدل گل های مورد انتظار طراحی کنید، باید از محل شوت زنی شروع کنید.
گل های مورد انتظار: آیا می توان با تکیه بر آن، بر ضرایب فوتبال غلبه کرد؟
سوالی که در مورد گل های مورد انتظار ایجاد می شود این است که آیا با تکیه بر آن می توان بر ضرایب غلبه کرد یا موقعیت های شرط بندی مناسب همراه با سود را پیدا کرد؟ همان طور که در قسمت اول یادداشت گفتم، در مورد وجود فرمولی جادویی برای شرط بندی، هیچ اطمینانی ندارم. خب، می توان انتظار داشت گل های مورد انتظار راه حل مدنظرمان باشد؟ آیا می توان با آن ها از پس ضرایب برآمد؟
برای پاسخ دادن به این سوال، ابتدا باید به ضرایب نگاه کنیم. وقتی می خواهم دنبال سوگیری ها در ضرایب بگردم، معمولا از مدلی آماری به نام رگرسیون لجستیک به شرح زیر استفاده می کنم:

استفاده از این معادله به منظور این است که ببینم ضرایب چقدر خوب می توانند نتیجه مسابقه را پیش بینی کنند. فرض کنید می خواهیم احتمال رخداد یک برد خارج از خانه را بررسی کنیم.
برای انجام این کار، مدل را با احتمال برد تیم میهمان پیاده سازی می کنیم جایی که a شامل ضریب بوک میکر برای برد میهمان (به صورت اعضاری و ترجیحا با حذف حاشیه سود بوک میکر) بوده و ثابت است. اگر با رگرسیون لجستیک (Logistical Regression) آشنایی ندارید، منابع آنلاین بسیاری هستند که می توانند کمکتان کنند.
رگرسیون لجستیک: یک مثال
در پایین، مثالی در خصوص رگرسیون لجستیک مربوط به دو فصل از لیگ برتر انگلیس (17-2015) آمده است:

اندازه نقطه هایی که در نمودار مشاهده می کنید، متناسب با مقداری است که این ضرایب ارائه شده است. هر چه نقطه ها بزرگ تر باشند، این ضرایب رایج تر بوده اند.
اگر این نقطه های پررنگ، پایین تر از خط نقطه چین قرار بگیرند، احتمال برد میهمان، کمتر از ضریب پیش بینی شده بوده است. اگر هم نقطه ها، بالاتر از خط نقطه چین قرار بگیرند، احتمال برد میهمان، بیشتر از ضریب پیش بینی شده بوده است.
خط مشکی بهترین پیاده سازی با استفاده از داده ها را در اختیارمان خواهد گذاشت. این خط، روند کلی را نشانمان می دهد. اگر به دقت به احتمالات حدود 0.1 در منحنی نگاه کنید و آن ها را با ضرایب حدود 10.0 مقایسه کنید، می بینید که منحنی تا حدی بالاتر از خط قرار دارد در حالی که برای احتمالات پیش بینی شده برای ضرایب بالاتر از 0.25، این روند برعکس شده است.
این نشان می دهد طی این 2 فصل، گزینه های کم شانس تر در خارج از خانه بیشتر برده اند و مدعیان در خارج از خانه کمتر به این مهم دست پیدا کرده اند که برخلاف انتظار ضرایب بوک میکرها بوده است.
گزینه های کم شانس دست کم گرفته شده و مدعیان بزرگ شده
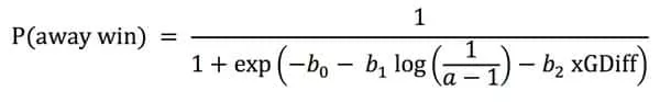
اگر قرار باشد فرصت شرط بندی ارزشمندی در این 2 فصلی که از آن صحبت کردم، پیدا کنیم، پیش بینی گزینه های کم شانسی که احتمالا در خارج از خانه برنده می شوند و گزینه های مدعی که در خارج از خانه می بازند، خواهد بود. اینجا است که می توانیم از معادله گل های مورد انتظار استفاده کنیم. از این رو، رگرسیون لجستیک جدیدی به شکل زیر نوشتم:

اینجا متغیری به نام xGDiff را اضافه کرده ام. این متغیر اشاره به تفاضل مورد انتظار گل ها بین دو تیم دارد که براساس بررسی گل های مورد انتظار هر کدام از آن ها طی 5 دیدار گذشته، حاصل می شود:

با پیاده سازی این رگرسیون لجستیک، به این نتیجه رسیدم که تیم های میهمانی که xGDiff بهتری دارند، احتمالا بیش از آنچه ضریب نشان می دهد، شانس برد دارند. بنابرین، اگر بتوانیم گزینه کم شانسی پیدا کنیم که در خارج از خانه و با xG قوی تر بازی می کند، حمایت از آن در شرط بندی، سودمند خواهد بود. برهمین اساس، مدعیانی که xG ضعیفی دارند، باید کنار گذاشته شوند.
رگرسیون لجستیک: لحاظ کردن گل های مورد انتظار
در پایین، جدول گل های مورد انتظار از هفته 11 ام فصل 18-2017 لیگ برتر را مشاهده می نمایید:

اینجا می توانیم با استفاده از بازی وست برومویچ (WBA) و چلسی، مدلمان را به آزمایش بگذاریم. برای این تیم ها، xGDiff به شرح زیر است:
(8.3+11.9 – 12.7-11.9)/2 = -2.7
این برای هر بازی معادل 0.25- است. چلسی تیم قوی تر است و ضریب 1.62 به خود می بیند. جایگزینی این ضرایب و xGDiff در معادله شماره 2، برد میهمان (P) را 42 درصد ارائه می کند. از این رو، با اینکه داده ها حاکی از شانس برد 62 درصدی چلسی است، مدل ما نشان می دهد این احتمال خیلی کمتر است. شرط ایده آل عدم برد چلسی است.
دیداری دیگر که جلب توجه می کند، مربوط به رویارویی لیورپول و ساوتهمپتون در خانه لیورپول است. مقدار xGDiff برای این تیم ها برابر با 0.36 به نفع لیورپول است به این معنا که آن ها تیم مدعی تر به شمار می روند، ولی ضریب برد ساوتهمپتون 8.3 است که احتمال ضمنی 12 درصدی نشان می دهد.
مدل من 15 درصد احتمال برد برای آن ها ارائه می کند. به معنای آن است که ساوتهمپتون ارزش شرط بندی دارد. با این حال، باید به یاد داشته باشید، حتی با تکیه بر این مدل هم، شما تنها 15 درصد مواقع برنده خواهید شد و شرط را خواهید برد.
نکاتی که از مدل می آموزیم، آیا فرمول شرط بندی ما درست است؟
پیام اصلی، توصیه های ارائه شده از سوی مدل نیست (هم وست برومویچ و هم ساوتهمپتون بازنده شدند)، بلکه شیوه (متد) است. اگر می خواهید مدلی بسازید و با شرط بندی در فوتبال پول ببرید، همیشه با ضرایب شروع کنید.
اول از رگرسیون لجستیک استفاده کنید تا شکاف های موجود در ضرایب ارائه شده از سوی بوک میکر را پیدا کنید و بعد متغیرهای دیگر همانند گل های مورد انتظار را اضافه کنید تا ببینید می توانید فرصت مناسبی برای شرط بندی پیدا کنید یا نه. این فرصت که در شرط بندی از آن به عنوان Edge (برتری) یاد می شود، کوچک خواهد بود، ولی شک نکنید که اگر به تعداد زیاد بتوانید آن را بکار گیرید، در بلند مدت تاثیر مثبت خود را نشان خواهد داد. امیدوارم این فرمول شرط بندی به کارتان بیاید!
بیشتر بخوانید:
دیدگاهتان را بنویسید